服务电话 Service Hotline:(0086)-731-88995848
公司动态
您现在的位置:首页 > 新闻中心 > 公司动态

我公司高纯度红镰霉素龙胆二糖苷(HPLC>98%)制备获得成功

2017-05-25

 

近日,我公司自主研发的高纯度红镰霉素龙胆二糖苷(HPLC>98%)的规模化生产工艺已获得成功,并大量生产出目标产品。红镰霉素龙胆二糖苷属于萘并吡喃酮糖苷类化合物,为决明子中特有成分,其他植物中未见报道。

 

科学研究表明,该化合物对四氯化碳引起的肝损伤具有保护作用,有良好的保肝活性,为决明子中保肝护肝的主要活性物质。

 

我公司生产出的红镰霉素龙胆二糖苷纯度高,无杂质,无溶剂残留,质量稳定可靠,可广泛用于HPLC分析用对照品、药理实验等方面。有需要的单位或个人请直接联系我司工作人员。

 

E-mail: csbhsw@163.com   TEL:0086-731-88995848

 

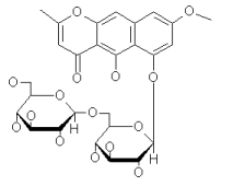
化合物基本信息:

 

CAS号:24577-90-0

 

中文名称:红镰霉素龙胆二糖苷

 

英文名称:

 

Rubrofusarin-6-O-beta-gentiobioside

6-O-beta-Gentiobiosylrubrofusarin

Rubrofusarin-6-O-{beta-D-glucopyranosyl(1->6)-beta-D-glucopyranoside}

6-O-{beta-D-Glucopyranosyl(1->6)-beta-D-glucopyranosyl}rubrofusarin 

分子式:C27H32O15

分子量:596.5471

 

结构式:

 

 

13C-NMR数据: (DMSO-d6) δ: 161.9, 106.7, 183.8, 101.1, 168.8, 107.7, 157.6, 100.8, 161.1, 99.7, 140.3, 103.6, 152.4, 20.2, 55.6, 103.6, 73.4, 76.9, 70.0, 75.5, 68.7, 100.7, 73.5, 76.3, 69.6, 76.6, 61.0

 

主要活性:保肝护肝,清除肝毒

 

植物来源:决明子

下一篇: 公司避暑活动新化三日游
上一篇: 我公司受邀参加“亚欧食品安全产业合作推广周”活动